Você está vendo
Data: 29/09/2025
- >
DOM Nº: 671A
Secretaria Municipal de Educação
EXTRATO DE ADITIVO
Aditivo nº 03/2025 – Contrato nº 08/2024. Tomada de Preços nº 05/2023-SME. Objeto: Promover a prorrogação do prazo de vigência do contrato pelo período de 04 (quatro) meses. Contratante: Secretaria Municipal de Educação - CNPJ:30.035.964/0001-36. Contratada: R R Construções e Serviços LTDA - CNPJ: 04.300.654/0001-91. Vigência: 22/09/2025 a 22/01/2026. Data da assinatura: 22/09/2025.
Controladoria-Geral do Município
PORTARIA Nº 38,
DE 29 DE SETEMBRO DE 2025
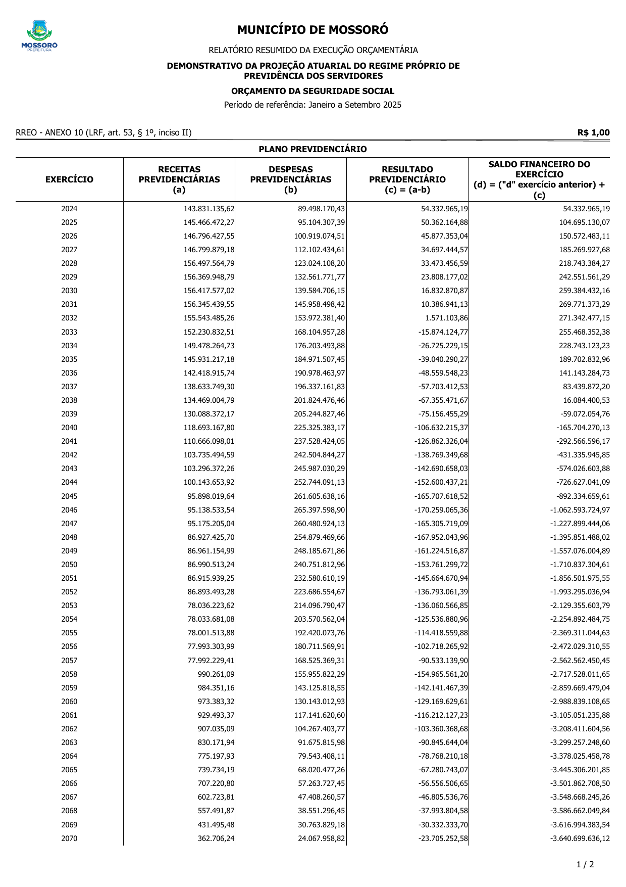
RELATÓRIO RESUMIDO DA EXECUÇÃO ORÇAMENTÁRIA - RREO DO 4º BIMESTRE DE 2025
O CONTROLADOR GERAL DO MUNICÍPIO, no uso de suas atribuições legais, conferidas através da Lei Complementar nº 169, de 12 de agosto de 2021, e com fundamento nos artigos 52, 53, 54 e 55 da Lei Complementar nº 101, de 04 de maio de 2000,
RESOLVE:
Art. 1º Publicar o Relatório Resumido da Execução Orçamentária – RREO, referente ao 4º bimestre do ano de 2025.
Mossoró-RN, 29 de setembro de 2025
WASHINGTON JOSÉ DA COSTA FILHO
Secretário Municipal de Administração
ALLYSON LEANDRO BEZERRA SILVA
Prefeito de Mossoró
ALDAIR LEITE DA SILVA FILHO
Contador Geral do Município









































PORTARIA Nº 39,
DE 29 DE SETEMBRO DE 2025
RELATÓRIO DE GESTÃO FISCAL - RGF DO 2º QUADRIMESTRE DE 2025
O CONTROLADOR GERAL DO MUNICÍPIO, no uso de suas atribuições legais, conferidas através da Lei Complementar nº 169, de 12 de agosto de 2021, e com fundamento nos artigos 52, 53, 54 e 55 da Lei Complementar nº 101, de 04 de maio de 2000,
RESOLVE:
Art. 1º Publicar o Relatório de Gestão Fiscal – RGF, referente ao 2º quadrimestre do ano de 2025.
Mossoró-RN, 29 de setembro de 2025
WASHINGTON JOSÉ DA COSTA FILHO
Secretário Municipal de Administração
ALLYSON LEANDRO BEZERRA SILVA
Prefeito de Mossoró
ALDAIR LEITE DA SILVA FILHO
Contador Geral do Município








