Você está vendo
Data: 16/12/2025
- >
DOM Nº: 724
Câmara Municipal de Mossoró
Dispõe sobre a designação dos Membros da Comissão de Ética e Decoro Parlamentar da Câmara Municipal de Mossoró e dá outras providências.
O PRESIDENTE DA CÂMARA MUNICIPAL DE MOSSORÓ, no uso de suas atribuições que lhe são conferidas pelo artigo 31, alínea “d”, combinado com o artigo 26, incisivo V, alínea “a”, do Regimento Interno desta Casa Legislativa e,
CONSIDERANDO o disposto nos arts. 7º a 11 da Resolução nº 10/2015, que institui o Código de Ética e Decoro Parlamentar da Câmara Municipal de Mossoró;
CONSIDERANDO o que dispõe o Regimento Interno da Câmara Municipal de Mossoró quanto à composição das comissões parlamentares;
CONSIDERANDO as indicações formalizadas pelas lideranças do Governo e da Oposição, por meio dos Memorandos nº 01/2025-GVCD e nº 046/2025-GVAF, regularmente encaminhados à Presidência desta Casa Legislativa;
RESOLVE:
Art. 1º Ficam designados os seguintes Vereadores para compor a Comissão de Ética e Decoro Parlamentar da Câmara Municipal de Mossoró, para o biênio 2025/2026, nos termos da Resolução nº 10/2015:
I – Membros Titulares:
a) Alexsandro Vasconcelos Valentim (PSD)
b) Deyvison Thalles Martins do Nascimento (MDB)
c) Jailson Régis Nogueira (PL)
d) Thiago Henrique Gomes Duarte Marques (SD)
e) Lucas Venâncio Magalhães (UNIÃO)
II – Membros Suplentes:
f) Maria Marleide da Cunha Matias (PT)
g) Ricardo Soares Nogueira do Couto (UNIÃO)
Art. 2º A definição do Presidente, do Vice-Presidente e do Secretário do Conselho de Ética e Decoro Parlamentar será realizada pelos seus membros, em reunião própria, na forma do Regimento Interno da Câmara Municipal de Mossoró e da Resolução n° 10/2025.
Art. 3º Este Ato entra em vigor na data de sua publicação.
Mossoró-RN, 16 de dezembro de 2025
GENILSON ALVES DE SOUZA
Presidente da Câmara Municipal de Mossoró
EXTRATO ORIUNDO DO CONTRATO Nº 042/2025.
Partes: MEO ENGENHARIA E CONSTRUÇÕES LTDA, CNPJ: 31.172.314/0001-03 e a Câmara Municipal de Mossoró, representada por Sr. Genilson Alves de Souza, Presidente.
Objeto........................: Contratação de empresa para prestação de serviços, sob demanda, de assessoria técnica em projetos de engenharia, arquitetura, geologia e geografia, estudos, testes, topografia, avaliações e orçamento de obras para Câmara Municipal de Mossoró.
Contratado.................: MEO ENGENHARIA E CONSTRUÇÕES LTDA, CNPJ: 31.172.314/0001-03
Valor................: R$ 96.945,00 (noventa e seis mil, novecentos e quarenta e cinco reais).
Período................: 12 meses.
Fundamento Legal...: Lei 14.133/2021, Art. 28, I , Resolução 002/2023-CMM.
Fiscal de Contrato................: José Borges dos Santos Neto, Mat. 034669-1
Gestor de Contrato................: Jefesson Medeiros de melo, Mat. 034491-3
Data de Assinatura...: 12/12/2025
Data de Vigência...:12/12/2026
Signatários: Genilson Alves de Souza (responsável pela contratante), Monique Esteves de Oliveira (responsável pela contratada).
Mossoró-RN, 12 de dezembro de 2025
EXTRATO DE ATA DE REGISTRO DE PREÇOS Nº 012/2025
Licitação: SRP - Pregão eletrônico nº PE014/2025
Órgão gerenciador: Câmara Municipal de Mossoró
Detentora: MEO ENGENHARIA E CONSTRUÇÕES LTDA, com sede na Av. Jerônimo Monteiro, nº 1.000, Edifício Trade Center, sala 1501/1503, Centro, Vitória/ES, CEP 29010- 004.
Objeto: Registro de Preços para eventual e futura contratação de empresa para prestação de serviços, sob demanda, de assessoria técnica em projetos de engenharia, arquitetura, geologia e geografia, estudos, testes, topografia, avaliações e orçamento de obras para Câmara Municipal de Mossoró.
Vigência: 12 (doze) meses.
Data de Assinatura: 10/12/2025.
Fundamentação Legal: Lei 14.133/2021, Resolução 002/2023-CMM.
Signatários: Genilson Alves de Souza (responsável gerenciador), Monique Esteves de Oliveira (responsável detentora).
Mossoró-RN, 10 de dezembro de 2025
Concede Título de Cidadão Mossoroense ao senhor Daniel Lima Sampaio.
O Presidente da Câmara Municipal de Mossoró.
Faço saber que a Câmara Municipal de Mossoró aprovou e eu, nos termos do Art. 26, inciso II, alínea “m” do Regimento Interno, promulgo o seguinte Decreto Legislativo:
Art. 1º. Fica concedido o Título de Cidadão Mossoroense ao senhor Daniel Lima Sampaio.
Art. 2º. Este Decreto Legislativo entra em vigor na data da sua publicação.
Mossoró-RN, 10 de dezembro de 2025
GENILSON ALVES DE SOUZA
Presidente da Câmara Municipal de Mossoró
Concede Título de Cidadão Mossoroense ao senhor Hélio Henrique Cunha Pinheiro.
O Presidente da Câmara Municipal de Mossoró.
Faço saber que a Câmara Municipal de Mossoró aprovou e eu, nos termos do Art. 26, inciso II, alínea “m” do Regimento Interno, promulgo o seguinte Decreto Legislativo:
Art. 1º. Fica concedido o Título de Cidadão Mossoroense ao senhor Hélio Henrique Cunha Pinheiro.
Art. 2º. Este Decreto Legislativo entra em vigor na data da sua publicação.
Mossoró-RN, 10 de dezembro de 2025
GENILSON ALVES DE SOUZA
Presidente da Câmara Municipal de Mossoró
Concede Título de Cidadã Mossoroense à senhora Maria Alexandra Ribeiro Pinto.
O Presidente da Câmara Municipal de Mossoró.
Faço saber que a Câmara Municipal de Mossoró aprovou e eu, nos termos do Art. 26, inciso II, alínea “m” do Regimento Interno, promulgo o seguinte Decreto Legislativo:
Art. 1º. Fica concedido o Concede Título de Cidadã Mossoroense à senhora Maria Alexandra Ribeiro Pinto.
Art. 2º. Este Decreto Legislativo entra em vigor na data da sua publicação.
Mossoró-RN, 10 de dezembro de 2025
GENILSON ALVES DE SOUZA
Presidente da Câmara Municipal de Mossoró
Concede Título de Cidadão Mossoroense ao senhor José Wilson Costa de Carvalho.
O Presidente da Câmara Municipal de Mossoró.
Faço saber que a Câmara Municipal de Mossoró aprovou e eu, nos termos do Art. 26, inciso II, alínea “m” do Regimento Interno, promulgo o seguinte Decreto Legislativo:
Art. 1º. Fica concedido o Concede Título de Cidadão Mossoroense ao senhor José Wilson Costa de Carvalho.
Art. 2º. Este Decreto Legislativo entra em vigor na data da sua publicação.
Mossoró-RN, 10 de dezembro de 2025
GENILSON ALVES DE SOUZA
Presidente da Câmara Municipal de Mossoró
Dispõe sobre o julgamento das contas da Administração Pública Municipal referente ao exercício 2014, deliberando acerca do parecer prévio do Tribunal de Contas.
CONSIDERANDO o disposto no art. 37, VIII da Lei Orgânica do Município de Mossoró;
CONSIDERANDO o parecer prévio do Tribunal de Contas do Estado, constante no Processo n° 6614/2015-TC;
CONSIDERANDO a deliberação do Parecer do Tribunal de Contas do Estado (Processo n° 6614/2015-TC) em plenário durante a 78ª Sessão Ordinária, sendo mantido por 11 votos favoráveis e 05 abstenções;
O Presidente da Câmara Municipal de Mossoró.
Faço saber que a Câmara Municipal de Mossoró aprovou e eu, nos termos do Art. 26, inciso II, alínea “m” do Regimento Interno, promulgo o seguinte Decreto Legislativo:
Art. 1º. Ficam REPROVADAS as contas do Poder Executivo Municipal, referentes ao exercício 2014, em consonância com o parecer prévio do Tribunal de Contas do Estado (Processo n° 6614/2015-TC).
Art. 2º. Este Decreto Legislativo entra em vigor na data da sua publicação.
Mossoró-RN, 16 de dezembro de 2025
GENILSON ALVES DE SOUZA
Presidente da Câmara Municipal de Mossoró
Designar servidores para atuarem como GESTOR DO CONTRATO e FISCAL DO CONTRATO de n° 038/2025, firmado entre a CÂMARA MUNICIPAL DE MOSSORÓ – RIO GRANDE DO NORTE e a empresa G O CARVALHO LTDA, CNPJ/MF n° 27.945.733/0001-55.
O PRESIDENTE DA CÂMARA MUNICIPAL DE MOSSORÓ, no uso das atribuições que lhe são conferidas pelo artigo 31, inciso II, alínea “a” do Regimento Interno desta Casa Legislativa,
RESOLVE:
Art. 1º Designar o servidor JOSÉ BORGES DOS SANTOS NETO, matrícula n° 034669-1, para atuar como GESTOR DO CONTRATO de n° 038/2025, firmado entre a CÂMARA MUNICIPAL DE MOSSORÓ – RIO GRANDE DO NORTE e a empresa G O CARVALHO LTDA, CNPJ/MF n° 27.945.733/0001-55.
Art. 2º Designar o servidor GILENO JÁCOME DE MELO JÚNIOR, matrícula n° 034674-6, para atuar como FISCAL DO CONTRATO de n° 038/2025, firmado entre a CÂMARA MUNICIPAL DE MOSSORÓ – RIO GRANDE DO NORTE e a empresa G O CARVALHO LTDA, CNPJ/MF n° 27.945.733/0001-55.
Art. 3º Esta Portaria entra em vigor na data de sua publicação.
Mossoró-RN, 16 de dezembro de 2025
GENILSON ALVES DE SOUZA
Presidente da Câmara Municipal de Mossoró
Designar servidores para atuarem como GESTOR DO CONTRATO e FISCAL DO CONTRATO, oriundo da DISPENSA DE LICITAÇÃO n° 027/2025, PROCESSO LICITATÓRIO n° 070/2025, firmado entre a CÂMARA MUNICIPAL DE MOSSORÓ – RIO GRANDE DO NORTE e a empresa C E N COMERCIAL DE TECIDOS LTDA, CNPJ/MF n° 35.055.777/0001-38.
O PRESIDENTE DA CÂMARA MUNICIPAL DE MOSSORÓ, no uso das atribuições que lhe são conferidas pelo artigo 31, inciso II, alínea “a” do Regimento Interno desta Casa Legislativa,
RESOLVE:
Art. 1º Designar o servidor JOSÉ BORGES DOS SANTOS NETO, matrícula n° 034669-1, para atuar como GESTOR DO CONTRATO, oriundo da DISPENSA DE LICITAÇÃO n° 027/2025, PROCESSO LICITATÓRIO n° 070/2025, firmado entre a CÂMARA MUNICIPAL DE MOSSORÓ – RIO GRANDE DO NORTE e a empresa C E N COMERCIAL DE TECIDOS LTDA, CNPJ/MF n° 35.055.777/0001-38.
Art. 2º Designar o servidor ABMAEL DE SÁ LINHARES, matrícula n° 034764-6, para atuar como FISCAL DO CONTRATO, oriundo da DISPENSA DE LICITAÇÃO n° 027/2025, PROCESSO LICITATÓRIO n° 070/2025, firmado entre a CÂMARA MUNICIPAL DE MOSSORÓ – RIO GRANDE DO NORTE e a empresa C E N COMERCIAL DE TECIDOS LTDA, CNPJ/MF n° 35.055.777/0001-38.
Art. 3º Esta Portaria entra em vigor na data de sua publicação.
Mossoró-RN, 16 de dezembro de 2025
GENILSON ALVES DE SOUZA
Presidente da Câmara Municipal de Mossoró
O PRESIDENTE DA CÂMARA MUNICIPAL DE MOSSORÓ.
Faço saber que a Câmara Municipal de Mossoró aprovou e eu, com fundamento no art. 52, inciso V, da Lei Orgânica do Município de Mossoró e art. 26, II, alínea m, do Regimento Interno, promulgo a seguinte Resolução:
CAPÍTULO I
DAS DISPOSIÇÕES GERAIS
Art. 1º Esta resolução regulamenta o direito constitucional do acesso à informação e a aplicação da Lei Federal n° 12.527/2011 no âmbito da Câmara Municipal de Mossoró, consoante previsto no inciso XXXIII do artigo 5°, no inciso II, do § 2º do artigo 216, da Constituição Federal, bem como nos regramentos encartados na Lei n° 12.527/2011.
Parágrafo único. Subordinam-se aos regramentos desta Resolução, os Edis e demais servidores do Poder Legislativo do Município de Mossoró.
Art. 2° Todas as informações de transparência serão disponibilizadas através do endereço www.mossoro.rn.leg.br e no portal da transparência https://www.mossoro.rn.leg.br/portal-da-transparencia/portal-da-transparencia, acessível via internet.
CAPÍTULO II
DO DIREITO DE ACESSO À INFORMAÇÃO
Art. 3º O direito fundamental de acesso à informação é assegurado pela Câmara Municipal de Mossoró nos termos desta Resolução e executado em conformidade com os princípios básicos no art.37, caput, da Constituição Federal e com as seguintes diretrizes:
I. Observância da publicidade como preceito geral e do sigilo como exceção;
II. Divulgação de informações de interesse público;
III. Utilização de meios de comunicação viabilizados pela tecnologia da informação;
IV. Desenvolvimento do controle social da administração pública.
Art. 4º O acesso à informação compreende os direitos de obter orientação sobre os procedimentos para a sua obtenção, bem como sobre o local onde poderá ser encontrada ou obtida a informação almejada.
§1º Quando não for autorizado acesso integral à informação por ser ela parcialmente sigilosa, é assegurado o acesso à parte não sigilosa por meio de certidão, extrato ou cópia com ocultação da parte sob sigilo.
§ 2º Informado do extravio da informação solicitada, poderá o interessado requerer a Mesa Diretora da Câmara Municipal de Mossoró, a imediata abertura de sindicância para apurar o desaparecimento da respectiva documentação.
§ 3º Verificada a hipótese prevista no § 2º deste artigo, o responsável pela guarda da informação extraviada deverá, no prazo de 15 (quinze) dias, justificar o fato e indicar os meios de provas cabíveis.
CAPÍTULO III
DA DIVULGAÇÃO DE INFORMAÇÕES
Art. 5º É dever da Câmara promover, independentemente de requerimentos, a divulgação em local de fácil acesso, no âmbito de suas competências, informações de interesse coletivo ou geral, produzidas ou custodiadas pelo órgão.
§1º Na divulgação das informações a que se refere o caput, deverão constar, no mínimo:
I - Registro das competências e estrutura organizacional, endereços e telefones das respectivas unidades e horários de atendimento ao público;
II - Registros de quaisquer repasses ou transferências de recursos financeiros;
III - Registros de despesas;
IV - Informações concernentes a procedimentos licitatórios;
V – Informações concernentes aos processos legislativos;
VI - Respostas a perguntas mais frequentes da sociedade.
§2º As informações constantes dos incisos do §1º, deverão estar disponíveis no Portal Transparência, Serviço de Informação ao Cidadão (SIC) e Site Institucional da Câmara Municipal de Mossoró.
§3º As informações deverão ser disponibilizadas em formatos acessíveis e atualizadas periodicamente, preferencialmente em meio eletrônico.
CAPÍTULO IV
DA GESTÃO E RESPONSABILIDADES
Art. 6º A gestão do acesso à informação será responsabilidade da Mesa Diretora da Câmara Municipal de Mossoró, que deverá:
I. Receber e processar os pedidos de acesso;
II. Orientar os solicitantes quanto aos procedimentos;
III. Garantir a integridade e confidencialidade das informações;
IV. Manter registros dos atendimentos realizados.
Art. 7º Os servidores envolvidos na gestão da informação deverão ser capacitados regularmente sobre as normas e procedimentos estabelecidos nesta resolução.
CAPÍTULO V
DO PROCEDIMENTO DE ACESSO À INFORMAÇÃO
Seção I
Do Pedido de Acesso
Art. 8º Qualquer interessado poderá apresentar pedido de acesso a informações à Câmara, por qualquer meio legítimo.
§1º O pedido de acesso à informação deve observar os seguintes requisitos:
I - Ter como destinatário o Serviço de Informação ao Cidadão (SIC), junto a Ouvidoria da Câmara;
II - Conter a identificação do requerente e a especificação da informação requerida;
III - Ser efetuado preferencialmente por meio do preenchimento de formulário eletrônico a ser disponibilizado no Portal Transparência/SIC da Câmara Municipal de Mossoró;
IV - Alternativamente, ao inciso II, ser formulado ao Serviço de Informação ao Cidadão (SIC) junto à Ouvidoria do órgão, por intermédio dos demais canais de comunicação.
§2º Para o acesso à informação de interesse público, a identificação do requerente não pode conter exigências que inviabilizem a solicitação.
§3º São vedadas quaisquer exigências relativas aos motivos determinantes da solicitação de informação de interesse público.
Art. 9º O pedido de acesso à informação será atendido pelo SIC de imediato, sempre que possível.
§1º Caso não seja possível atender de imediato ao pedido, o prazo para resposta não poderá ser superior a 20 (vinte) dias, admitida prorrogação por 10 (dez) dias, nos termos da Lei Federal nº 12.527/ 2011.
§2º A eventual prorrogação será devidamente justificada ao requerente, se este assim solicitar.
§3º A informação armazenada em formato digital será assim fornecida, ressalvado pedido expresso do requerente.
§4º Quando não for autorizado o acesso por se tratar de informação total ou parcialmente sigilosa, o requerente deverá ser informado sobre a possibilidade de recurso, prazos e condições para sua interposição, devendo, ainda, ser-lhe indicada a autoridade competente para sua apreciação.
Art. 10º Não serão atendidos pedidos de acesso à informação:
I - Genéricos;
II - Desproporcionais ou desarrazoados; ou
III - Que exijam trabalhos adicionais de análise, interpretação ou consolidação de dados e informações, ou serviço de produção ou tratamento de dados que não seja de competência do órgão.
Parágrafo único. Na hipótese do inciso III do caput, o órgão deverá, caso tenha conhecimento, indicar o local onde se encontram as informações a partir das quais o requerente poderá realizar a interpretação, consolidação ou tratamento de dados.
Seção II
Da Tramitação Interna
Art. 11º O pedido de informação formulado pelo interessado será encaminhado ao Serviço de Informação ao Cidadão (SIC), da Ouvidoria do Poder Legislativo, sendo que a tramitação interna e os prazos a serem obedecidos dar-se-ão da seguinte forma:
I - Recebido o pedido de informação por meio do SIC, terá o prazo de 02 (dois) dias para protocolar o pedido, analisar a competência do órgão em prestar a informação requerida e responder, quando possível;
II - Não sendo possível prestar a informação na forma prevista no inciso I, o SIC encaminhará o pedido do interessado ao Presidente da Câmara Municipal de Mossoró, que terá o prazo de 05 (cinco) dias para análise e encaminhamento;
III - O Presidente, após despacho favorável, remeterá o pedido à Unidade responsável, que prestará as informações requeridas em 05 (cinco) dias, podendo solicitar ao Presidente sua prorrogação, de forma justificada, por igual período;
IV - Prestadas as informações pela Unidade Responsável, os autos retornarão à Mesa Diretora para encaminhamento ao Serviço de Informação ao Cidadão (SIC), que no prazo de 02 (dois) dias, informará ao requerente a resposta do pedido formulado.
V - A proposta de negativa de acesso à informação deverá ser encaminhada pela unidade, com a fundamentação pertinente, ao Presidente.
Parágrafo único. A negativa de acesso às informações objeto de pedido formulado à Câmara Municipal de Mossoró, quando não fundamentada, sujeitará o responsável a medidas disciplinares.
Seção III
Dos Recursos
Art. 12º Negado o acesso à informação, o requerente poderá recorrer contra a decisão à Mesa Diretora da Câmara Municipal de Mossoró, no prazo de 10 (dez) dias a contar da sua ciência, se:
I - O acesso à informação não classificada como sigilosa for negado;
II - A decisão de negativa de acesso à informação total ou parcialmente classificada como sigilosa não indicar a autoridade classificadora ou hierarquicamente superior a quem possa ser dirigido pedido de acesso ou desclassificação;
III - Os procedimentos de classificação de informação sigilosa, estabelecidos nesta Resolução, não tiverem sido observados; ou
IV - Estiverem sido descumpridos prazos ou outros procedimentos previstos nesta Lei.
§1º O recurso previsto neste artigo somente poderá ser dirigido à Mesa Diretora da Câmara Municipal de Mossoró depois de submetido à apreciação do Presidente.
§2º Caso a decisão denegatória tenha sido proferida pelo Presidente da Câmara, o recurso poderá ser encaminhado para a Mesa Diretora, submetendo-se a apreciação e decisão em até 10 (dez) dias.
§3º Negado o acesso à informação em sede recursal, a decisão se torna irrecorrível.
Art. 13º Não poderá ser negado acesso à informação necessária à tutela judicial ou administrativa de direitos fundamentais.
Parágrafo único. As informações ou documentos que versem sobre condutas que impliquem violação dos direitos humanos praticada por agentes públicos ou a mando de autoridades públicas não poderão ser objeto de restrição de acesso.
Art. 14º O disposto nesta Resolução não exclui as demais hipóteses normativas de sigilo e de segredo de justiça, que tenha qualquer vínculo com o poder público.
Art. 15º O acesso, a divulgação e o tratamento de informação classificada como sigilosa, ficarão restritos a pessoas que tenham necessidade de conhecê-la e que sejam devidamente credenciadas na forma de regulamento próprio que disporá sobre procedimentos e medidas a serem adotados, sem prejuízo das atribuições dos agentes públicos autorizados por lei.
Parágrafo único. O acesso à informação classificada como sigilosa cria a obrigação para aquele que a obteve de resguardar o sigilo.
Art. 16º O tratamento das informações pessoais deve ser feito de forma transparente e com respeito à intimidade, vida privada, honra e imagem das pessoas, bem como às liberdades e garantias individuais.
§1º As informações pessoais, a que se refere este artigo, relativas à intimidade, vida privada, honra e imagem:
I - Terão seu acesso restrito, independentemente de classificação de sigilo e pelo prazo máximo de cem anos a contar da sua data de produção, a agentes públicos legalmente autorizados e à pessoa a que elas se referirem; e
II - Poderão ter autorizada sua divulgação ou acesso por terceiros diante de previsão legal ou consentimento expresso da pessoa a que elas se referirem.
§2º Aquele que obtiver acesso às informações de que trata este artigo, responsabiliza-se pelo seu uso indevido.
§3º O consentimento referido no inciso II do § 1º não será exigido quando as informações forem necessárias:
I - À prevenção e diagnóstico médico, quando a pessoa estiver física ou legalmente incapaz, e para utilização única e exclusivamente para o tratamento médico;
II - À realização de estatísticas e pesquisas científicas de evidente interesse público ou geral, previstos em lei, sendo vedada a identificação da pessoa a que as informações se referirem;
III - Ao cumprimento de ordem judicial; ou
IV - À proteção do interesse público e geral preponderante.
§4º Observados os princípios da proporcionalidade e da razoabilidade, a restrição de acesso à informação relativa à vida privada, honra e imagem de pessoa não poderá ser invocada com o intuito de prejudicar processo de apuração de irregularidades em que estiver envolvida ou ações voltadas para a recuperação de fatos históricos de maior relevância.
Art. 17º Os órgãos e entidades públicas respondem diretamente pelos danos causados em decorrência da divulgação não autorizada ou utilização indevida de informações sigilosas ou informações pessoais, assegurando o direito de apurar responsabilidade funcional nos casos de dolo ou culpa.
Parágrafo único. O disposto neste artigo aplica-se à pessoa física ou entidades privadas que, em virtude de qualquer vínculo com o órgão ou entidades, tenha acesso à informação sigilosa ou pessoal e a submeta a tratamento indevido.
CAPITULO VI
DO SERVIÇO DE INFORMAÇÃO AO CIDADÃO (SIC) E DISPONIBILIZAÇÕES FINAIS.
Art. 18º Fica criado no âmbito da Câmara Municipal de Mossoró o Serviço de Informação ao Cidadão (SIC).
Art. 19º O SIC (Serviço de Informação ao Cidadão) é destinado a atender e orientar os cidadãos quanto ao acesso às informações regulamentadas nesta Resolução. Parágrafo único. O Funcionamento do SIC estará vinculado à Mesa Diretora da Câmara e à Ouvidoria da Câmara.
Art. 20º No Site Oficial da Câmara Municipal de Mossoró deverá ser reservado espaço, denominado “e-SIC” ou similar, para prestação de informações a qualquer interessado, bastando a identificação do requerente e a especificação da informação requerida, conforme art. 10 da Lei 12.527/11.
Art. 21º De igual forma, qualquer interessado poderá solicitar diretamente ao SIC da Câmara Municipal de Mossoró, por meio escrito, pedido de acesso a informações, bastando, para tanto, protocolar requerimento dirigido ao Presidente da Câmara Municipal.
Parágrafo único. Quando o pedido de informações vier acompanhado de solicitação de documentos, o custo da reprodução destes correrá por conta do requerente, exceto nos casos previstos na forma do art. 12, Parágrafo único, da Lei Federal nº 12.527/2011.
Art. 22º O SIC será composto por um servidor do quadro de funcionários da Câmara Municipal, designado pela Presidência e supervisionado pela Procuradoria-Geral da Câmara Municipal de Mossoró.
Art. 23º Fica o Presidente autorizado a expedir os atos necessários à regulamentação desta Resolução, bem como a dirimir os casos omissos.
Art. 24º As despesas decorrentes da execução desta lei correrão por conta de dotação orçamentária própria.
Art. 25º Esta resolução entra em vigor na data de sua publicação.
Mossoró-RN, 15 de dezembro de 2025
GENILSON ALVES DE SOUZA
Presidente da Câmara Municipal de Mossoró
DISPÕE SOBRE A IMPLEMENTAÇÃO DE DIRETRIZES PARA O GOVERNO DIGITAL, NOS TERMOS DA LEI FEDERAL 14.129/2011, NO ÂMBITO DA CÂMARA MUNICIPAL DE MOSSORÓ.
CONSIDERANDO a promulgação da Lei Federal nº 14.129, de 29 de março de 2021, que dispõe sobre os princípios, as regras e os instrumentos para o Governo Digital e para o aumento da eficiência pública;
CONSIDERANDO a necessidade de modernização, desburocratização, inovação e transformação digital dos serviços legislativos e administrativos prestados pela Câmara Municipal de Mossoró;
CONSIDERANDO os compromissos institucionais com a transparência, a proteção de dados pessoais e a inclusão digital;
CONSIDERANDO o papel do Poder Legislativo como indutor de boas práticas de governança pública digital.
O PRESIDENTE DA CÂMARA MUNICIPAL DE MOSSORÓ.
Faço saber que a Câmara Municipal de Mossoró aprovou e eu, com fundamento no art. 52, inciso V, da Lei Orgânica do Município de Mossoró e art. 26, II, alínea m, do Regimento Interno, promulgo a seguinte Resolução:
CAPÍTULO I
DAS DISPOSIÇÕES GERAIS
Art. 1º Esta Resolução regulamenta, no âmbito da Câmara Municipal de Mossoró, a aplicação da Lei Federal nº 14.129/2021, visando à efetiva implementação do Governo Digital e ao aumento da eficiência na prestação de serviços públicos.
Parágrafo único. A aplicação desta Resolução observará, de forma integrada, as seguintes normas:
I – Lei nº 12.527/2011 (Lei de Acesso à Informação);
II – Lei nº 13.460/2017 (Direitos do Usuário dos Serviços Públicos);
III – Lei nº 13.709/2018 (Lei Geral de Proteção de Dados Pessoais – LGPD).
CAPÍTULO II
DOS PRINCÍPIOS E DIRETRIZES
Art. 2º A estratégia de Governo Digital observará os princípios de:
I – desburocratização;
II – prestação digital acessível;
III – uso intensivo de tecnologia;
IV – transparência e monitoramento da qualidade;
V – interoperabilidade e dados abertos;
VI – proteção de dados e privacidade;
VII – inclusão digital;
VIII – linguagem clara;
IX – participação e controle social;
X – inovação e assinaturas eletrônicas;
XI – capacitação digital contínua dos servidores.
CAPÍTULO III
DA PRESTAÇÃO DIGITAL DE SERVIÇOS
Art. 3º Os serviços prestados pela Câmara Municipal de Mossoró deverão, preferencialmente, ser disponibilizados por meios digitais acessíveis.
Art. 4º A plataforma digital conterá, no mínimo:
I – protocolo e acompanhamento digital;
II – canal de avaliação do usuário;
III – Carta de Serviços ao Usuário;
IV – integração com sistemas internos e externos.
Art. 5º A Câmara Municipal de Mossoró manterá atendimento presencial quando necessário, especialmente para públicos com dificuldade de acesso digital.
CAPÍTULO IV
DOS DIREITOS DOS USUÁRIOS
Art. 6º São assegurados:
I – acesso gratuito aos serviços digitais;
II – protocolo digital das solicitações;
III – respostas nos prazos definidos na Carta de Serviços;
IV – informação clara e acessível;
V – exercício dos direitos previstos na LGPD;
VI – canal de contato com os setores responsáveis.
CAPÍTULO V
GOVERNANÇA E SEGURANÇA DIGITAL
Art. 7º A plataforma digital deverá assegurar:
I – autenticação e rastreabilidade das interações;
II – transparência no tratamento de dados pessoais;
III – funcionalidades que assegurem os direitos da LGPD.
Art. 8º O Núcleo de Tecnologia da Informação, em articulação com os setores competentes, será responsável pela implementação, manutenção e aprimoramento das ações de Governo Digital.
CAPITULO VI
DISPOSIÇÕES FINAIS
Art. 9º A Câmara incentivará a adoção de boas práticas digitais, inclusive com capacitações e intercâmbio de experiências com outros entes públicos.
Art. 10. Esta Resolução entra em vigor na data de sua publicação.
Mossoró-RN, 15 de dezembro de 2025
GENILSON ALVES DE SOUZA
Presidente da Câmara Municipal de Mossoró
Gabinete do Prefeito
DECRETO Nº 7.478,
DE 16 DE DEZEMBRO DE 2025
Abre Crédito Suplementar no valor de R$ 370.587,38 para os fins que especifica e dá outras providências.
O PREFEITO DO MUNICÍPIO DE MOSSORÓ no uso das atribuições, que lhe conferem os arts. 78, inc. XII, e 148, da Lei Orgânica do Município, e tendo em vista as disposições contidas no artigo 33, da Lei nº 4.155, de 16 de julho de 2024; no art. 6º, da Lei nº. 4.175, de 27 de dezembro de 2024,
DECRETA:
Art. 1º Fica aberto, no corrente exercício, Crédito Suplementar no valor de R$ 370.587,38 (trezentos e setenta mil e quinhentos e oitenta e sete reais e trinta e oito centavos) às dotações especificadas no Anexo I deste Decreto.
Art. 2º Constitui fonte de recursos para fazer face ao crédito de que trata o artigo anterior, a anulação, em igual valor, das dotações orçamentárias discriminadas no Anexo II deste Decreto.
Art. 3º Este Decreto entra em vigor na data de sua publicação.
Mossoró-RN, 16 de dezembro de 2025
ALLYSON LEANDRO BEZERRA SILVA
Prefeito de Mossoró

DECRETO Nº 7.479,
DE 16 DE DEZEMBRO DE 2025
Regulamenta a Lei nº 4.233/2025, que cria o Programa “Investe Escola”, e dispõe sobre sua operacionalização.
O PREFEITO DO MUNICÍPIO DE MOSSORÓ, no uso das atribuições que lhe confere o artigo 78, inciso IX, da Lei Orgânica do Município,
DECRETA:
Art. 1º O Município destinará, anualmente, ao Programa Investe Escola, valor mínimo correspondente a percentual do total aplicado, com recursos próprios, em Manutenção e Desenvolvimento do Ensino – MDE no exercício anterior, nos seguintes termos:
I – 0,5% no exercício de 2025;
II – 0,6% no exercício de 2026;
III – 0,7% no exercício de 2027;
IV – 0,8% no exercício de 2028;
V – 1,0% no exercício de 2029.
§ 1º No exercício em que o valor destinado ao Programa Investe Escola ultrapassar o percentual mínimo previsto para o respectivo ano neste Decreto, o percentual aplicado servirá de base para o exercício seguinte, vedada a redução do patamar alcançado e assegurada, obrigatoriamente, sua progressão anual até o limite de 1% (um por cento) do total aplicado em Manutenção e Desenvolvimento do Ensino no exercício anterior.
Art. 2° O valor total do investimento do Programa Investe Escola será dividido em duas parcelas distintas, correspondentes, uma delas, às unidades de educação infantil da Rede Pública Municipal, e, a outra delas, às escolas de ensino fundamental da Rede Pública Municipal.
§ 1º A proporção entre as parcelas referidas no caput será definida com base:
I – no quantitativo total de unidades de cada grupo, compreendidas as unidades de educação infantil e as escolas de ensino fundamental;
II – no número total de matrículas ativas em cada grupo, apurado com base no censo escolar ou em outro instrumento oficial de registro adotado pelo Município.
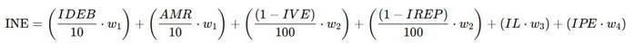
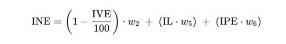
Art. 3° O Índice de Necessidade Educacional (INE), derivado da fórmula matemática definidora dos valores, será apurado anualmente e indicará o percentual de participação de cada unidade educacional no montante destinado ao Programa Investe Escola.
Art. 4° A soma dos índices de participação de todas as unidades escolares alcançará 100%, de modo que a participação percentual de cada escola no total dos recursos seja proporcional ao seu índice.
Art. 5º O INE será calculado com base nos seguintes fatores, conforme a etapa de ensino:
I - para as escolas de ensino fundamental:
a) Índice de Desenvolvimento da Educação Básica (IDEB);
b) Avaliação Municipal de Aprendizagem (AMR);
c) Índice de Evasão Escolar (IVE);
d) Índice de Reprovação (IREP);
e) Índice de Localização (IL); e
f) Índice de Porte Escolar (IPE).
II - para as unidades de educação infantil:
a) Índice de Evasão Escolar (IVE);
b) Índice de Localização (IL); e
c) Índice de Porte Escolar (IPE).
§1º Para fins de equidade e proporcionalidade na apuração do INE, de forma prévia, os fatores previstos neste artigo serão ajustados matematicamente para variar entre 0 (zero) e 1 (um), observada a natureza de cada fator e consideradas as especificidades das unidades educacionais.
§2º Para as unidades educacionais situadas na zona urbana, aplica-se o coeficiente 0,7, enquanto às unidades educacionais localizadas na zona rural será atribuído o coeficiente 1,0;
§3º Serão considerados os seguintes coeficientes, conforme Índice de Porte Escolar (IPE) da unidade educacional:
I – IPE 1: coeficiente 1,0;
II – IPE 2: coeficiente 0,8;
III – IPE 3: coeficiente 0,6;
IV – IPE 4: coeficiente 0,4;
V – IPE 5: coeficiente 0,2; § 4° Nos anos em que, no exercício anterior, não tiver sido realizada a Avaliação Municipal de Aprendizagem, o peso a ela destinado será automaticamente somado ao peso atribuído à nota do IDEB.
§ 5º Para os fins do disposto no art. 18, inciso I, da Lei nº 4.233/2025, considera-se como avaliação nacional de aprendizagem, conduzida por órgão oficial competente, o Índice de Desenvolvimento da Educação Básica – IDEB, referido na alínea “a” do inciso I deste artigo.
Art. 6º O cálculo do INE será realizado conforme as seguintes fórmulas:
I - para as unidades educacionais de ensino fundamental nos anos em que a Avaliação Municipal de Aprendizagem for realizada:

II - para as unidades educacionais de ensino fundamental nos anos em que a Avaliação Municipal de Aprendizagem não for realizada:

III - para as unidades educacionais de ensino infantil:

Parágrafo único. Para os efeitos deste artigo, w1, w2, w3, w4, w5 e w6 representam os pesos atribuídos a cada fator do cálculo da seguinte forma:
I – w1 = 0,15
II – w2 = 0,05
III – w3 = 0,10
IV – w4 = 0,50
V – w5 = 0,30
VI – w6 = 0,60
Art. 7º A Secretaria responsável pela gestão da educação do Município de Mossoró elaborará e divulgará manual de utilização de recursos do programa de que trata este Decreto.
Art. 8º Os recursos financeiros serão repassados às Unidades Executoras das Unidades Educacionais em quatro parcelas anuais, a serem creditadas até o dia 30 dos meses de março, junho, agosto e dezembro.
Art. 9º A Secretaria responsável pela gestão da educação apurará, com base na disponibilidade orçamentária do exercício, o valor absoluto total a ser destinado ao Programa Investe Escola e, sobre esse montante, aplicará a fórmula de cálculo prevista neste Decreto para determinar o percentual de participação de cada unidade educacional, devendo publicar, no Diário Oficial do Município, a relação das unidades com seus respectivos índices e valores de repasse.
Art. 9° Esse Decreto entra em vigor na data da sua publicação.
Mossoró-RN, 16 de dezembro de 2025
ALLYSON LEANDRO BEZERRA SILVA
Prefeito de Mossoró
PORTARIA Nº 1.789,
DE 16 DE DEZEMBRO DE 2025
Dispõe sobre a nomeação para o cargo em comissão de Assessor de Comunicação, símbolo CC11, da Prefeitura Municipal de Mossoró.
O PREFEITO DO MUNICÍPIO DE MOSSORÓ, no uso das atribuições que lhe confere o art. 67, caput, e art. 78, inciso IX, da Lei Orgânica do Município e tendo em vista a Lei Complementar n°169, de 12 de agosto de 2021, e suas posteriores alterações,
RESOLVE:
Art. 1º Nomear ROGERIO RODRIGUES DA SILVA para exercer o cargo em comissão de Assessor de Comunicação, símbolo CC11, na função de Assessor de Comunicação, com lotação na Secretaria Municipal de Comunicação Social da Prefeitura Municipal de Mossoró.
Art. 2º Esta Portaria entra em vigor na data de sua publicação.
Mossoró-RN, 16 de dezembro de 2025
ALLYSON LEANDRO BEZERRA SILVA
Prefeito de Mossoró
PORTARIA Nº 1.790,
DE 16 DE DEZEMBRO DE 2025
Dispõe sobre a nomeação para o cargo em comissão de Coordenador, símbolo CC11, da Prefeitura Municipal de Mossoró.
O PREFEITO DO MUNICÍPIO DE MOSSORÓ, no uso das atribuições que lhe confere o art. 67, caput, e art. 78, inciso IX, da Lei Orgânica do Município e tendo em vista a Lei Complementar n°169, de 12 de agosto de 2021, e suas posteriores alterações,
RESOLVE:
Art. 1º Nomear VANESSA MICHAELE DE OLIVEIRA para exercer o cargo em comissão de Coordenador, símbolo CC11, na função de Coordenador de Acompanhamento de Programas e Projetos, com lotação na Secretaria Municipal de Assistência Social, Cidadania e Juventude da Prefeitura Municipal de Mossoró.
Art. 2º Esta Portaria entra em vigor na data de sua publicação.
Mossoró-RN, 16 de dezembro de 2025
ALLYSON LEANDRO BEZERRA SILVA
Prefeito de Mossoró
Secretaria Municipal de Educação
EXTRATO DE ADITIVO DE ATA DE REGISTRO DE PREÇOS
Aditivo nº 01/2025 – Ata de Registro de Preços nº 02/2025-SME. Pregão n° 09/2024. Objeto: Promover a renovação da Ata de Registro de Preços pelo período de 12 (doze) meses. Gerenciador: Secretaria Municipal de Educação - CNPJ: 30.035.964/0001-36. Fornecedor: NKS Importações Indústria e Comércio LTDA – CNPJ: 00.744.999/0001-83. Vigência: 07/03/2026 a 07/03/2027. Valor: R$ 1.338.253,00 (um milhão e trezentos e trinta e oito mil e duzentos e cinquenta e três reais). Data da assinatura: 16/12/2025.
Institui o Fluxo Operacional Intersetorial para diagnóstico, emissão de laudos e atendimento integral a estudantes com deficiência da Rede Municipal de Ensino de Mossoró.
O SECRETÁRIO MUNICIPAL DE EDUCAÇÃO (SME), a SECRETÁRIA MUNICIPAL DE SAÚDE (SMS) e a SECRETÁRIA MUNICIPAL DE ASSISTÊNCIA SOCIAL E CIDADANIA (SEMASC), no uso de suas atribuições legais conferidas pela Lei Orgânica do Município e pela Lei Complementar nº 169, de 12 de agosto de 2021;
CONSIDERANDO a necessidade de acesso a laudos médicos e terapias para alunos da rede pública;
CONSIDERANDO que o atendimento integral à criança e ao adolescente exige a atuação articulada das políticas de educação, saúde e assistência social;
RESOLVEM:
Art. 1º Fica instituído o Fluxo Operacional Intersetorial de Atendimento Integral, com o objetivo de padronizar o encaminhamento, o diagnóstico precoce, a emissão de laudos e o tratamento de saúde de alunos da Rede Pública Municipal de Ensino.
Art. 2º O Fluxo Operacional integra as ações dos seguintes órgãos:
I - Secretaria Municipal de Educação (SME);
II - Secretaria Municipal de Saúde (SMS);
III - Secretaria Municipal de Assistência Social e Cidadania (SEMASC).
Parágrafo único. A gestão do fluxo de encaminhamentos ficará sob a responsabilidade técnica da Coordenadoria de Educação Especial e Equipe de Psicopedagogia da SME, em articulação com as regulações da SMS e SEMASC.
Art. 3º O Fluxo Operacional compreende quatro etapas obrigatórias e sequenciais:
I - Etapa 1: Triagem e identificação, compreendendo:
a) A triagem será realizada nas Unidades de Ensino, mediante avaliação pedagógica e observação de sinais de alerta, considerando as dimensões do desenvolvimento humano como cognição, visão, audição, linguagem e habilidades motoras;
b) a triagem deve ser precedida por estudo preliminar pelos supervisores escolares com consentimento da família;
I - o professor da turma emitirá relatório descritivo das condições de aprendizagem no contexto escolar;
II - confirmada a necessidade, a Unidade de Ensino realizará o encaminhamento prioritário para a Unidade Básica de Saúde (UBS) ou CRAS do território.
III - Etapa 2: Avaliação multiprofissional, compreendendo:
a) As UBSs deverão acolher o encaminhamento escolar como demanda prioritária;
b) a avaliação será realizada por equipe multiprofissional, considerando obrigatoriamente o relatório pedagógico enviado pela escola;
c) a avaliação deve considerar o contexto familiar e social do estudante.
IV - Etapa 3: Laudo e parecer técnico, compreendendo:
a) Os laudos médicos e pareceres técnicos deverão conter descrição detalhada, diagnóstico (quando houver) e recomendações claras para o suporte escolar e familiar, encaminhando-o para a familia e escola;
b) a linguagem utilizada nos documentos deve ser acessível à família e aos educadores.
V - Etapa 4: Retorno e acompanhamento, devendo, em conjunto, as Secretarias:
a) Secretaria de Educação: Compartilhar o laudo com os profisionais da Escola para fazer parte do Estudo de Caso, Plano de AEE para a oferta da acessibilidade necessária para aprendizagem no contexto escolar.
b) Secretaria de Saúde: Iniciar as terapias e intervenções médicas necessárias;
c) Assistência Social: Incluir a família no Cadastro Único (CadÚnico) e nos serviços de convivência (SCFV) ou PAIF, caso identificada vulnerabilidade social.
Art. 4º Nos casos de recusa dos pais ou responsáveis em iniciar ou dar sequência ao fluxo de investigação de saúde, a Direção da Escola deverá comunicar o fato imediatamente ao Conselho Tutelar, conforme preconiza o Estatuto da Criança e do Adolescente.
Art. 5º As Secretarias envolvidas promoverão, no prazo de 60 (sessenta) dias, formação conjunta para os gestores escolares, gerentes de UBS e diretores de CRAS sobre a operação deste fluxo.
Art. 6º Esta Portaria Conjunta entra em vigor na data de sua publicação.
Mossoró-RN, 16 de dezembro de 2025
LEONARDO DANTAS DOS SANTOS
Secretário Municipal de Educação
JACQUELINE MORGANA DANTAS MONTENEGRO
Secretária Municipal de Saúde
FRANCISCA SHIRLEY FERREIRA TARGINO
Secretária Municipal de Assistência Social e Cidadania e Juventude
Secretaria Municipal de Gestão e Desenvolvimento de Pessoas
PORTARIA Nº 378,
DE 02 DE DEZEMBRO DE 2025
O SECRETÁRIO MUNICIPAL DE GESTÃO E DESENVOLVIMENTO DE PESSOAS, nomeado através da Portaria nº 72, de 24 de janeiro de 2025, no uso das atribuições legais que lhe confere a Lei Complementar nº 169, alterada pela Lei Complementar nº 218, de 24 de janeiro de 2025, regulamentada pelo Decreto nº 7.339, de 31 de janeiro de 2025.
CONSIDERANDO o disposto no art. 38, inciso VII, da Lei Complementar nº 29/2008, de 16 de dezembro de 2008 que dispõe sobre Regime Jurídico dos Servidores Públicos do Município de Mossoró e das fundações públicas, bem como Parecer Jurídico de lavra da Diretoria Jurídica da Secretaria Municipal e Gestão e Desenvolvimento de Pessoas;
CONSIDERANDO o que consta no Processo SEI nº 22.001264/2025-20;
RESOLVE:
Art. 1° DECLARAR a vacância do cargo público de AGENTE DE TRÂNSITO E TRANSPORTE, ocupado pelo servidor PABLO MARLON MEDEIROS DA SILVA, sob matrícula nº 140686-1, lotado na Secretaria Municipal de Segurança Pública, Defesa Civil, Mobilidade Urbana e Trânsito, em razão de posse em outro cargo público.
Art. 2º Ficará EXTINTO o vínculo funcional do servidor citado no parágrafo anterior, em caso de não retornar às funções públicas no prazo de 03 (três) anos, a contar da data de sua posse no outro cargo público, ocorrida em 10 de novembro 2025.
Art. 3º Esta Portaria entra em vigor na data de sua publicação, com efeitos retroativos ao dia 10 de novembro 2025.
Mossoró-RN, 02 de dezembro de 2025
MARCOS ANTÔNIO DE OLIVEIRA
Secretário Municipal de Gestão e Desenvolvimento de Pessoas
PORTARIA Nº 379,
DE 12 DE DEZEMBRO DE 2025
O SECRETÁRIO MUNICIPAL DE GESTÃO E DESENVOLVIMENTO DE PESSOAS, nomeado através da Portaria nº 72, de 24 de janeiro de 2025, no uso das atribuições legais que lhe confere a Lei Complementar nº 169, alterada pela Lei Complementar nº 218, de 24 de janeiro de 2025, regulamentada pelo Decreto nº 7.339, de 31 de janeiro de 2025.
CONSIDERANDO o disposto no art. 99, § 1º, da Lei Complementar nº 29, de 16 de dezembro de 2008, que dispõe sobre o regime jurídico dos servidores públicos do Município de Mossoró, alterada pela Lei Complementar nº 194, de 20 de julho de 2023, bem como Parecer favorável, de lavra da Diretoria Jurídica da Secretaria Municipal de Gestão e Desenvolvimento de Pessoas;
CONSIDERANDO o que consta no Processo SEI nº 15.006619/2025-24;
RESOLVE:
Art. 1º CONCEDER à servidora FRANCISCA MAYARA DE SOUSA COSTA ROCHA, matrícula nº 91731-1, ocupante do cargo de Agente Administrativo, lotada na Secretaria Municipal de Educação, LICENÇA PARA TRATAR DE INTERESSES PARTICULARES, sem remuneração, pelo período de 2 (dois) anos, com início em 05 de janeiro de 2026 a 05 de janeiro de 2028.
Art. 2º Esta Portaria entra em vigor na data de sua publicação.
Mossoró-RN, 12 de dezembro de 2025
MARCOS ANTÔNIO DE OLIVEIRA
Secretário Municipal de Gestão e Desenvolvimento de Pessoas
PORTARIA Nº 380,
DE 12 DE DEZEMBRO DE 2025
O SECRETÁRIO MUNICIPAL DE GESTÃO E DESENVOLVIMENTO DE PESSOAS, nomeado através da Portaria nº 72, de 24 de janeiro de 2025, no uso das atribuições legais que lhe confere a Lei Complementar nº 169, alterada pela Lei Complementar nº 218, de 24 de janeiro de 2025, regulamentada pelo Decreto nº 7.339, de 31 de janeiro de 2025.
CONSIDERANDO o disposto no art. 99, § 1º, da Lei Complementar nº 29, de 16 de dezembro de 2008, que dispõe sobre o regime jurídico dos servidores públicos do Município de Mossoró, alterada pela Lei Complementar nº 194, de 20 de julho de 2023, bem como Parecer favorável, de lavra da Diretoria Jurídica da Secretaria Municipal de Gestão e Desenvolvimento de Pessoas;
CONSIDERANDO o que consta no Processo SEI nº 21.001781/2025-79;
RESOLVE:
Art. 1º CONCEDER à servidora TELIANNE MARIA DE ANDRADE CASTRO, matrícula nº 134244-1, ocupante do cargo de Enfermeiro, lotada na Secretaria Municipal de Saúde, LICENÇA PARA TRATAR DE INTERESSES PARTICULARES, sem remuneração, pelo período de 1 (um) ano, com início em 02 de março de 2025 a 01 de março de 2026.
Art. 2º Esta Portaria entra em vigor na data de sua publicação, retroagindo seus efeitos ao dia 02 de março de 2025.
Mossoró-RN, 12 de dezembro de 2025
MARCOS ANTÔNIO DE OLIVEIRA
Secretário Municipal de Gestão e Desenvolvimento de Pessoas
PORTARIA Nº 381,
DE 12 DE DEZEMBRO DE 2025
O SECRETÁRIO MUNICIPAL DE GESTÃO E DESENVOLVIMENTO DE PESSOAS, nomeado através da Portaria nº 72, de 24 de janeiro de 2025, no uso das atribuições legais que lhe confere a Lei Complementar nº 169, alterada pela Lei Complementar nº 218, de 24 de janeiro de 2025, regulamentada pelo Decreto nº 7.339, de 31 de janeiro de 2025.
CONSIDERANDO o disposto no art. 99, § 1º, da Lei Complementar nº 29, de 16 de dezembro de 2008, que dispõe sobre o regime jurídico dos servidores públicos do Município de Mossoró, alterada pela Lei Complementar nº 194, de 20 de julho de 2023, bem como Parecer favorável, de lavra da Diretoria Jurídica da Secretaria Municipal de Gestão e Desenvolvimento de Pessoas;
CONSIDERANDO o que consta no Processo SEI nº 15.000553/2025-70;
RESOLVE:
Art. 1º CONCEDER à servidora CLAUDIA ALMEIDA DA SILVA LEANDRO, matrícula nº 88684-1, ocupante do cargo de Auxiliar de Apoio Operacional, lotada na Secretaria Municipal de Educação, LICENÇA PARA TRATAR DE INTERESSES PARTICULARES, sem remuneração, pelo período de 1 (um) ano, com início em 02 de fevereiro de 2026 a 01 de fevereiro de 2027.
Art. 2º Esta Portaria entra em vigor na data de sua publicação.
Mossoró-RN, 12 de dezembro de 2025
MARCOS ANTÔNIO DE OLIVEIRA
Secretário Municipal de Gestão e Desenvolvimento de Pessoas
Conselho Municipal de Assistência Social
Dispõe sobre a Aprovação do Calendário de reuniões ordinárias para o exercício de 2026.
O PRESIDENTE DO CONSELHO MUNICIPAL DE ASSISTÊNCIA SOCIAL (CMAS) DE MOSSORÓ/RN, no uso de suas atribuições legais e regimentais, e conforme deliberação do Colegiado em reunião realizada em 11 de dezembro de 2025,
CONSIDERANDO que o Conselho Municipal de Assistência Social – CMAS, é órgão deliberativo e paritário responsável pela formulação, controle, acompanhamento e fiscalização da Política Municipal de Assistência Social, no uso das atribuições que lhe confere a Lei Municipal nº 1.026 de 18 de dezembro de 1995, alterada pela Lei Municipal nº 2.813, de 29 de dezembro de 2011;
CONSIDERANDO o Art. 7º do Regimento Interno do Conselho Municipal de Assistência Social, que trata da autonomia do plenário;
CONSIDERANDO o Art. 10 do Regimento Interno do Conselho Municipal de Assistência Social, que trata das diretrizes das reuniões ordinárias;
CONSIDERANDO a deliberação favorável desse egrégio conselho em reunião ordinária realizada em 11 de dezembro de 2025, às 08h, no ALBEM;
RESOLVE:
Art. 1º Esta resolução aprova o Calendário de Reuniões Ordinárias para o exercício de 2026, conforme quadro abaixo:
| MÊS | DATA - 2ª QUINTA-FEIRA DE CADA MÊS |
| FEVEREIRO | 12/02, às 8HRS |
| MARÇO | 12/03, às 8HRS |
| ABRIL | 09/04, às 8HRS |
| MAIO | 14/05, às 8HRS |
| JUNHO | 11/06, às 8HRS |
| JULHO | 09/07, às 8HRS |
| AGOSTO | 13/08, às 8HRS |
| SETEMBRO | 10/09, às 8HRS |
| OUTUBRO | 08/10, às 8HRS |
| NOVEMBRO | 12/11, às 8HRS |
| DEZEMBRO | 10/12, às 8HRS |
Art. 2º As reuniões extraordinárias serão convocadas conforme §1º do Art. 10 do Regimento Interno do Conselho Municipal de Assistência Social.
Art. 3º Esta Resolução entra em vigor na data de sua publicação.
Mossoró-RN, 15 de dezembro de 2025
ARNON DUTRA DANTAS TARGINO SOBRINHO
Presidente do CMAS
Conselho Municipal da Pessoa Idosa
Dispõe sobre o calendário de Reuniões mensais Ordinárias do Conselho Municipal do Idoso, e dá outras providências.
Conselho Municipal do Idoso, no uso das suas atribuições legais, com fundamento na Lei Federal nº 10.741, de 1º de outubro de 2003 – Estatuto do Idoso, o Decreto municipal nº 5850, de 9 de outubro de 2020, que regulamenta a Lei Municipal nº 2320, de 12 de setembro de 2007, que dispõe sobre a política municipal do idoso, institui o Conselho Municipal do Idoso, o Fundo Municipal do Idoso e dá outras providências.
CONSIDERANDO o Regimento Interno desse egrégio Conselho.
RESOLVE:
Art. 1º O Conselho Municipal do Idoso realizará mensalmente em caráter ordinário, e/ou extraordinariamente, sempre que convocado pela presidente, por iniciativa própria ou requerimento da maioria simples de seus membros, Sessões Plenárias virtuais (via aplicativo Google Meet) e/ou presenciais, na terceira semana de cada mês (nas terças-feiras), salvo os feriados. Fica estabelecido o horário das Sessões Plenárias às 14 horas.
Art. 2º Fica estabelecido que o calendário anual de Reuniões Ordinárias deste Conselho que se aplicará aos meses do ano de 2026 e acontecerão conforme tabela a seguir.
|
MÊS |
DATA |
|
FEVEREIRO |
09 |
|
MARÇO |
17 |
|
ABRIL |
21 |
|
MAIO |
19 |
|
JUNHO |
16 |
|
JULHO |
21 |
|
AGOSTO |
18 |
|
SETEMBRO |
15 |
|
OUTUBRO |
20 |
|
NOVEMBRO |
17 |
|
DEZEMBRO |
15 |
Art. 3° Esta Resolução entra em vigor na data de sua publicação.
Mossoró-RN, 16 de dezembro de 2025
JOANA AMÉLIA ALVES ARAÚJO
Presidente do CMI
Instituto Municipal de Previdência Social
O Instituto Municipal de Previdência Social dos Servidores de Mossoró PREVI MOSSORÓ, com fundamento no artigo 75, inciso II, da Lei Federal nº 14.133/2021 e justificativas constantes no Processo Administrativo nº 05.000276/2025-95, RATIFICA a Dispensa de Licitação nº 12/2025 - PREVI, cujo objeto trata-se da contratação de empresa especializada para organização e realização da Festa dos Aposentados vinculados ao Instituto Municipal de Previdência Social dos Servidores de Mossoró – PREVI-Mossoró, incluindo locação de espaço, completa estrutura de iluminação, decoração, arranjos, flores, painel de led, espaço instagramável, palco, recepcionista e orientação de estacionamento, no valor total de R$ 59.800,00 (cinquenta e nove mil e oitocentos reais), em favor da empresa MASTER PRODUCOES E EVENTOS LTDA, inscrita no CNPJ Nº 13.953.323/0001-41. O efeito desta portaria retroage a data da assinatura.
Mossoró-RN, 16 de dezembro de 2025
ALEX JOSÉ VELASCO NUNES
Presidente do PREVI-Mossoró